Στο εργαστήριο συχνά αντιμετωπίζουμε ένα αριθμό ποσοτήτων, τις οποίες μετρούμε για να υπολογίσουμε το τελικό αποτέλεσμα. Ο υπολογισμός του σφάλματος για την κάθε μια ποσότητα και στη συνέχεια ο υπολογισμός του σφάλματος στο τελικό αποτέλεσμα είναι συνήθως επίπονη και συγχρόνως ανιαρή διαδικασία. Πολλοί φοιτητές υπολογίζουν αυτόματα την τυπική απόκλιση για την κάθε σειρά μετρήσεων και συνδυάζουν όλα τα σφάλματα, ανεξάρτητα από το μέγεθος τους, καταλήγοντας ίσως σε λανθασμένο χωρίς νόημα αποτέλεσμα, επειδή πιθανότατα έχουν κάνει λάθος στους υπολογισμούς. Στη σελίδα αυτή θα αναφερθούμε σε απλούς κανόνες, οι οποίοι είναι εύκολοι στη χρήση και οδηγούν σύντομα στην εκτίμηση του σφάλματος. Πρέπει όμως να σημειωθεί ότι οι κανόνες αυτοί καταλήγουν στην υπερεκτίμηση
της πραγματικής αβεβαιότητας.Έτσι αν
z = f(x,y), υπολογίζουμε τη μέγιστη τιμή του σφάλματος δz από την εξίσωση:
η οποία για απλές μαθηματικές πράξεις καταλήγει στους εξής τύπους:
|
|
|
|
|
|
|
|
Περισσότερο σύνθετες περιπτώσεις
|
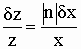
Αν z = xn, διαφορίζουμε όποτε προκύπτει δz = n xn-1 ή |
![]()
|
Αν το αποτέλεσμα εξαρτάται από περισσότερες από δύο ποσότητες, το σφάλμα υπολογίζεται αναλύοντας σε όρους την αλγεβρική παράσταση του αποτελέσματος. |
Πχ αν α =
bc/d, το μέγιστο σφάλμα στην ποσότητα α δίνεται ως:![]()
|
Αν y = α sinθ |
![]()
και

Σημειώνεται ότι οι γωνίες θ και δθ εκφράζονται σε ακτίνια.
|
Αν y = α cos θ |
![]()
και

|
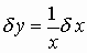
Αν y = ln x |
![]()